Ungewöhnlich nasser Jahresstart
07.08.2024 - Das Jahr hat bisher nicht viel Sonnenschein gebracht, an vielen Tagen hat es geregnet. Dies wiederspiegelt sich auch in den Böden. Die Böden sind lange nass geblieben, wie die Aufzeichnungen der 12 Bodenmessstationen des Kanton Solothurns zeigen.
Die Bodenmessstationen zeichnen fortlaufend den Niederschlag sowie die Saugspannung und die Temperatur des Bodens in zwei verschiedenen Tiefen (20 und 35 cm) auf (aktuelle Daten verfügbar unter www.bodenmessnetz.ch). Die Saugspannung ist ein indirektes Mass für die Bodenfeuchte und zeigt an, ob der Boden befahren werden kann, ohne einen Schaden zu verursachen oder nicht. Nasser Boden ist weniger tragfähig und deshalb besonders verdichtungsempfindlich und sollte nicht befahren werden.
Das Beispiel der Messstation Aetigkofen zeigt (Abbildung 1), dass die Saugspannung des Bodens in diesem Jahr kaum einmal auf über 10 cbar gestiegen und der Boden fast durchgehend nass gewesen ist. Dies stellt die Land- und die Bauwirtschaft vor Herausforderungen. Die heissen Sommertage lassen (zumindest für die Bauwirtschaft) etwas aufatmen: mit den steigenden Temperaturen und dem Ausbleiben des Niederschlags, trocknen die Böden langsam ab.
Abbildung 1: Niederschlag und Saugspannung in Aetigkofen im Jahr 2024

Wie schnell und wie stark die Böden abtrocknen ist abhängig vom Standort. So hat es in den letzten zwei Wochen im nördlichen Kantonsteil dreimal (21./22. Juli , 28. Juli und 1. August grössere Niederschlagsmengen (>10 mm) gegeben. Der (Unter)boden am Messtandort in Hochwald beispielsweise ist darum noch immer nicht ganz abgetrocknet und noch feucht (Stand 06.08.2024, Abbildung 2). Im Südlichen Kantonsteil (bsp. Aetikofen) hat es bei diesen Ereignissen deutlich weniger Niederschlag (1 bis 4.5 mm) gegeben. Dort sind die Böden bereits wieder im trockenen Bereich.
Abbildung 2: Niederschlag und Saugspannung in Hochwald 01.07.2024 bis 06.08.2024

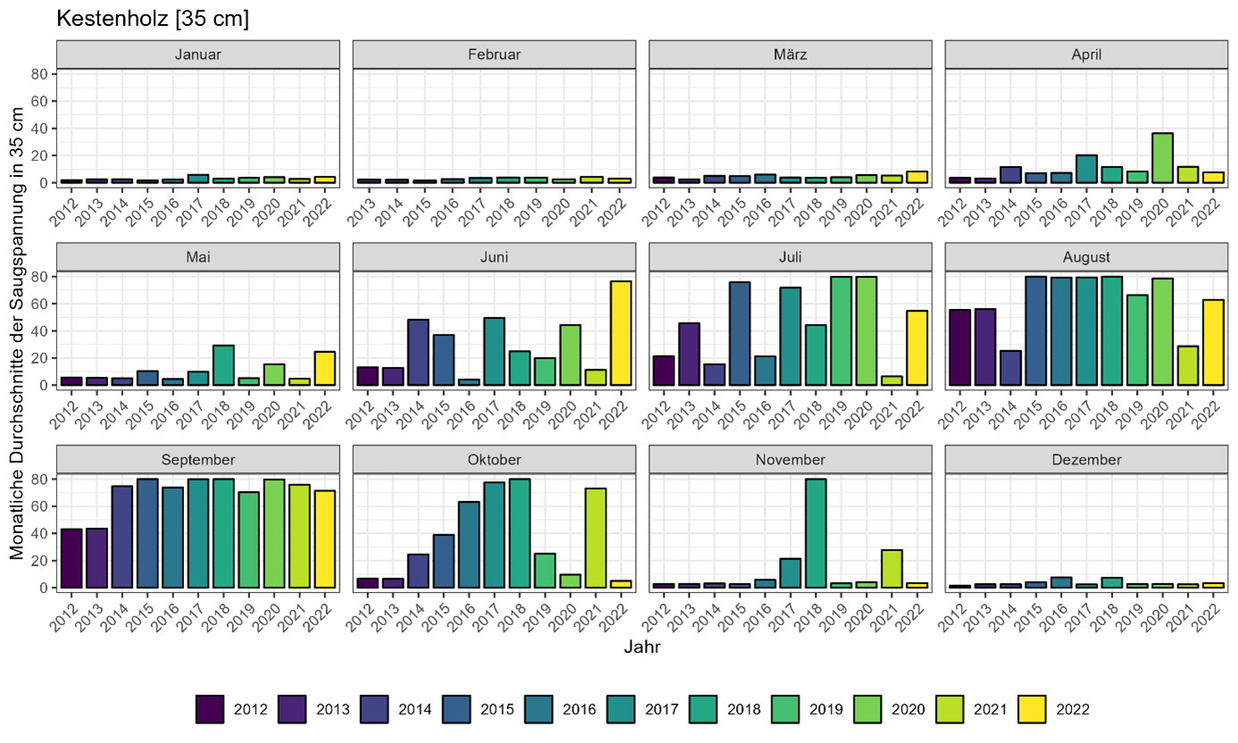
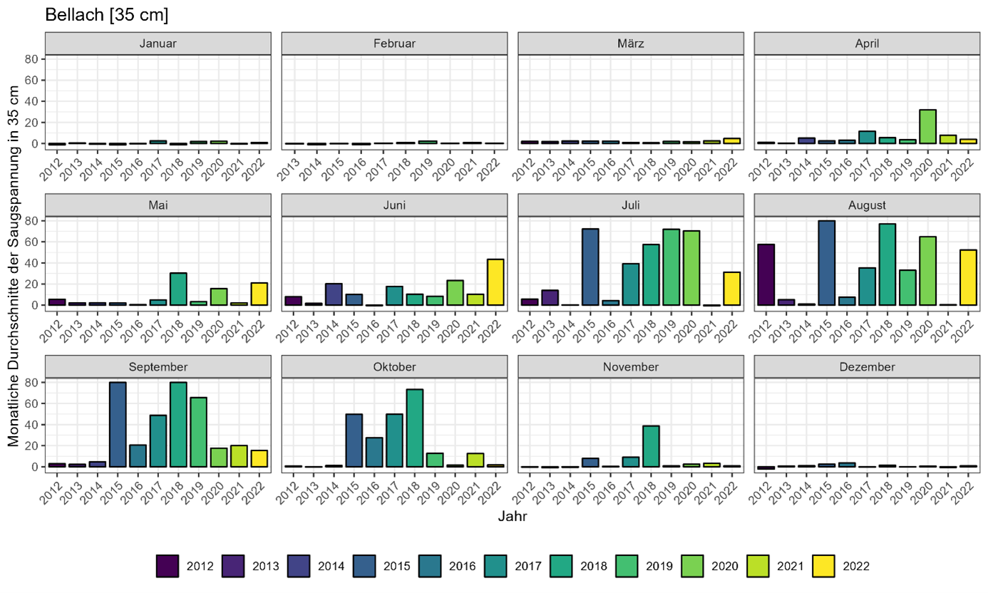
Neben der Niederschlagsmenge haben aber auch die Landnutzung sowie die Zusammensetzung des Bodens einen entscheidenden Einfluss auf die Bodenfeuchte. Dies zeigt auch der Bericht des Kantons Solothurn, in dem die Messwerte der Jahre 2012-2022 ausgewertet worden sind. Die Abbildungen 3-4 zeigen, wie unterschiedlich der Jahresverlauf bei verschiedenen Messstandorten sein kann.
Abbildung 3: Monatliche Saugspannungswerte der Messstation Kestenholz von 2012-2022.

Abbildungen 4: Monatliche Saugspannungswerte der Messstation Bellach von 2012-2022.

Kestenholz ist ein eher «trockener» Standort, Bellach ein eher «nasser» Standort. Die Abbildungen 3 und 4 zeigen, dass es in den letzten Jahren im Sommer häufig eher ausgeprägt trocken war. Die Trockenphase stellte sich dabei häufig schon im Frühsommer ein. Aber auch in den eher nassen Jahren zu Beginn der Messreihe (2012-2014) hat es an den meisten Standorten eine kurze trockene Phase im Sommer (siehe Abbildungen 3 und 4) gegeben. Ob das Jahr 2024 insgesamt ein Jahr wird, bei dem die Böden ausgesprochen lang nass sind, wird sich noch zeigen. Vielleicht erwartet uns ein trockener Spätsommer und Herbst?
Amt für Umwelt
Werkhofstrasse 5 4509 Solothurn
Öffnungszeiten
Montag - Donnerstag
08:00 - 12:00 / 13:30 - 16:30
Freitag
08:00 - 12:00 / 13:30 - 16:00